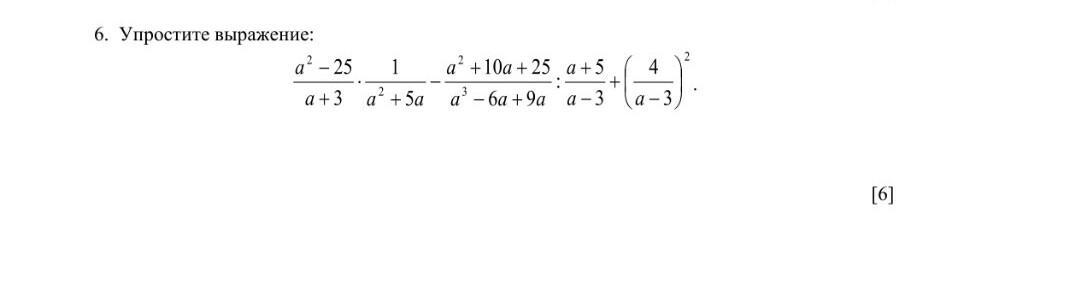
• Предмет: Алгебра
  • Автор: zevatizina
  • Вопрос задан 8 лет назад

пооооммоооггггиииииттеееее!!!​

Приложения:

Ответы

Ответ дал: Frenochka
0

ответ : в файле ниже

но смотри, как я поняла в задание ошибка ( её я отметила в решение), если решать как написан пример получается оооочень большой ответ. так что спроси правильно ли дали вам задание

пожалуйста ;)) и отпиши, мне тоже интересно

Приложения:
Ответ дал: zevatizina
0
это получается по действиям?
Ответ дал: Frenochka
0
Да
Вас заинтересует