Ответы
Ответ дал:
0
Объяснение:
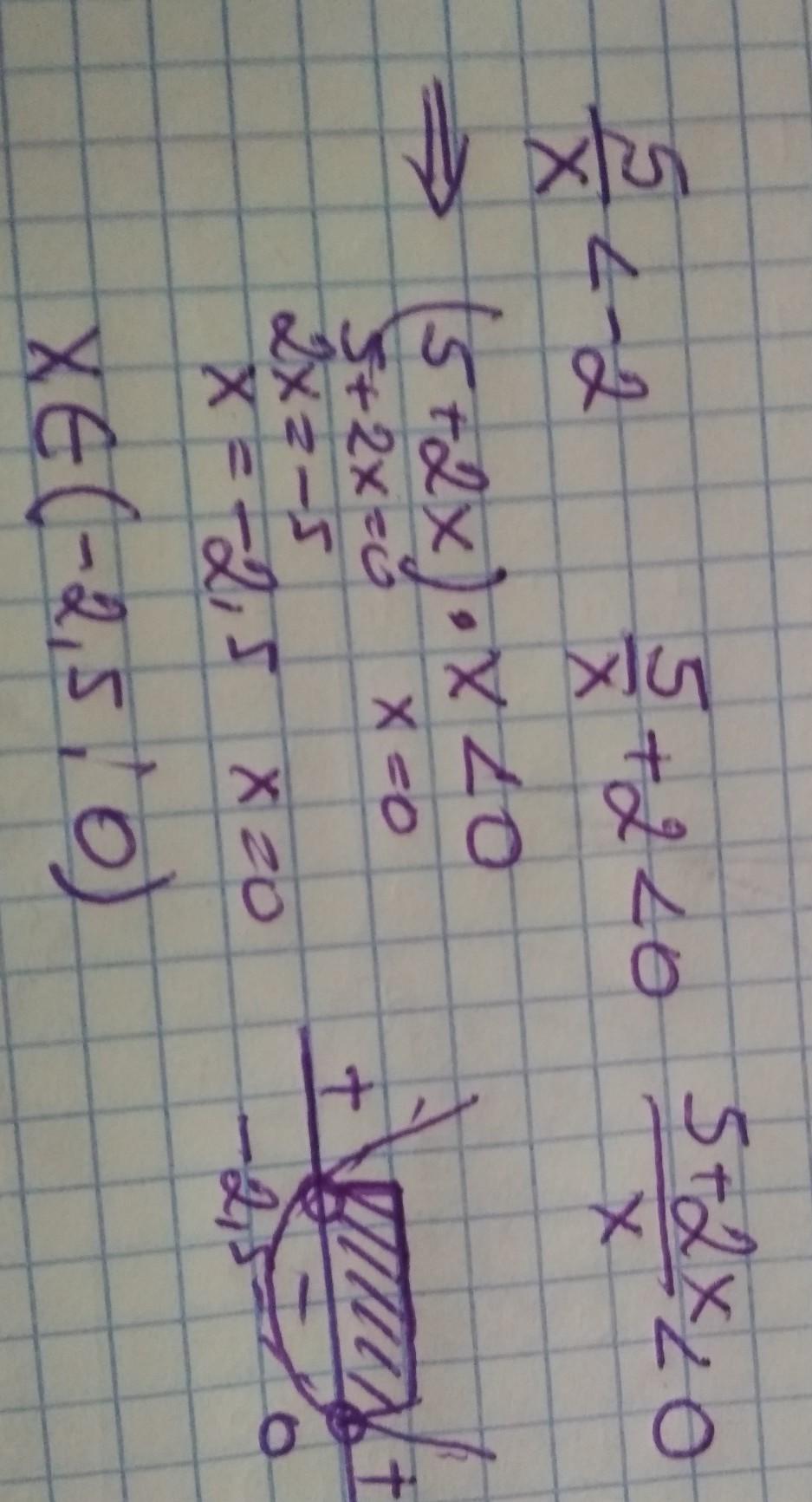
при решении неравенств все переносим в левую часть, ищем общий знаменатель далее по фото( знаменатель не выбрасываем)
Приложения:

Вас заинтересует
2 года назад
2 года назад
3 года назад
3 года назад
8 лет назад
8 лет назад