• Предмет: Алгебра
  • Автор: pepe201
  • Вопрос задан 8 лет назад

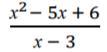
Помогите. Найдите значение функции f(х): , в точке х0 = 2.

Приложения:

Ответы

Ответ дал: olares55
0

f(x)=frac{x^2-5x+6}{x-3}\\x_{o}=2\\f(2)=frac{x^2-5x+6}{x-3}=frac{2^2-5*2+6}{2-3}=frac{4-10+6}{-1}=frac{0}{-1}=0

Вас заинтересует