• Предмет: Алгебра
  • Автор: anastasiapolusina31
  • Вопрос задан 8 лет назад

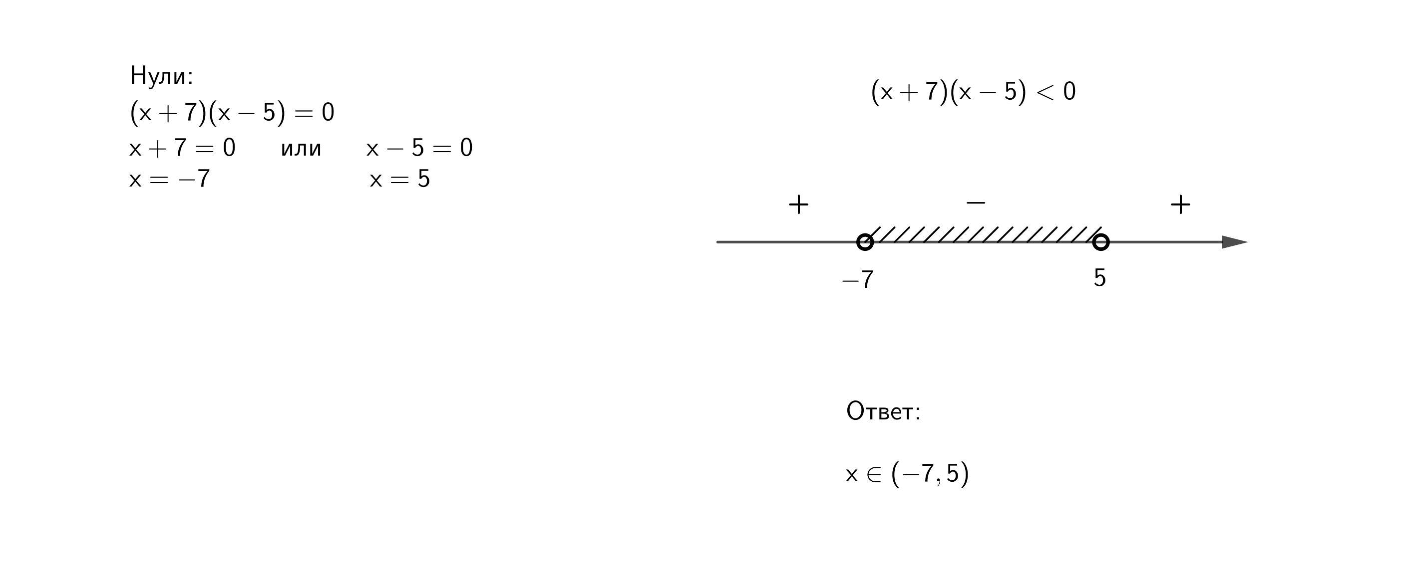
Добрый вечер. Помогите решить уравнение (х+7)(х-5)<0

Ответы

Ответ дал: 7x8
0

Ответ в файле

……………………….

Приложения:
Вас заинтересует