• Предмет: Алгебра
  • Автор: Аноним
  • Вопрос задан 8 лет назад

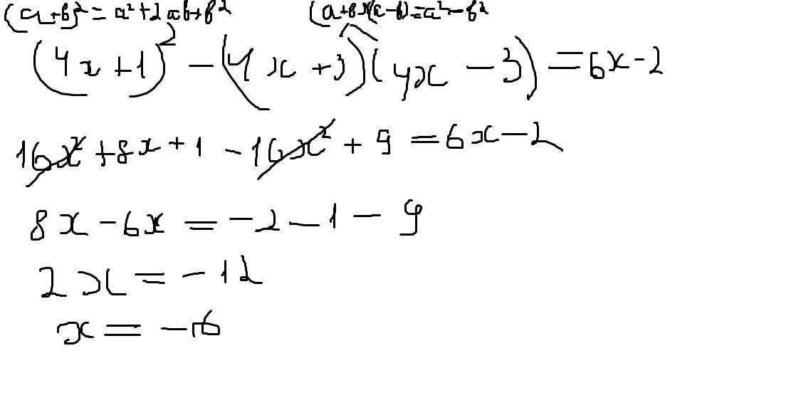
решите уравнение:
(4x+1)^2-(4x+3)(4x-3)=6x-2

Ответы

Ответ дал: Аноним
0

Ответ:

-6

Объяснение:

очень просто я сверху написал какие формулы я использувал и все очень легко

Приложения:
Ответ дал: Аноним
0
я в очках черная фотка
Ответ дал: Аноним
0
с девушкой
Ответ дал: letomoyoleto
0
написал
Ответ дал: Аноним
0
у меня почему то упал вк
Ответ дал: Аноним
0
Можеж на почту написать? [email protected]
Вас заинтересует