Ответы
Ответ дал:
0
Ответ:
очень много задач
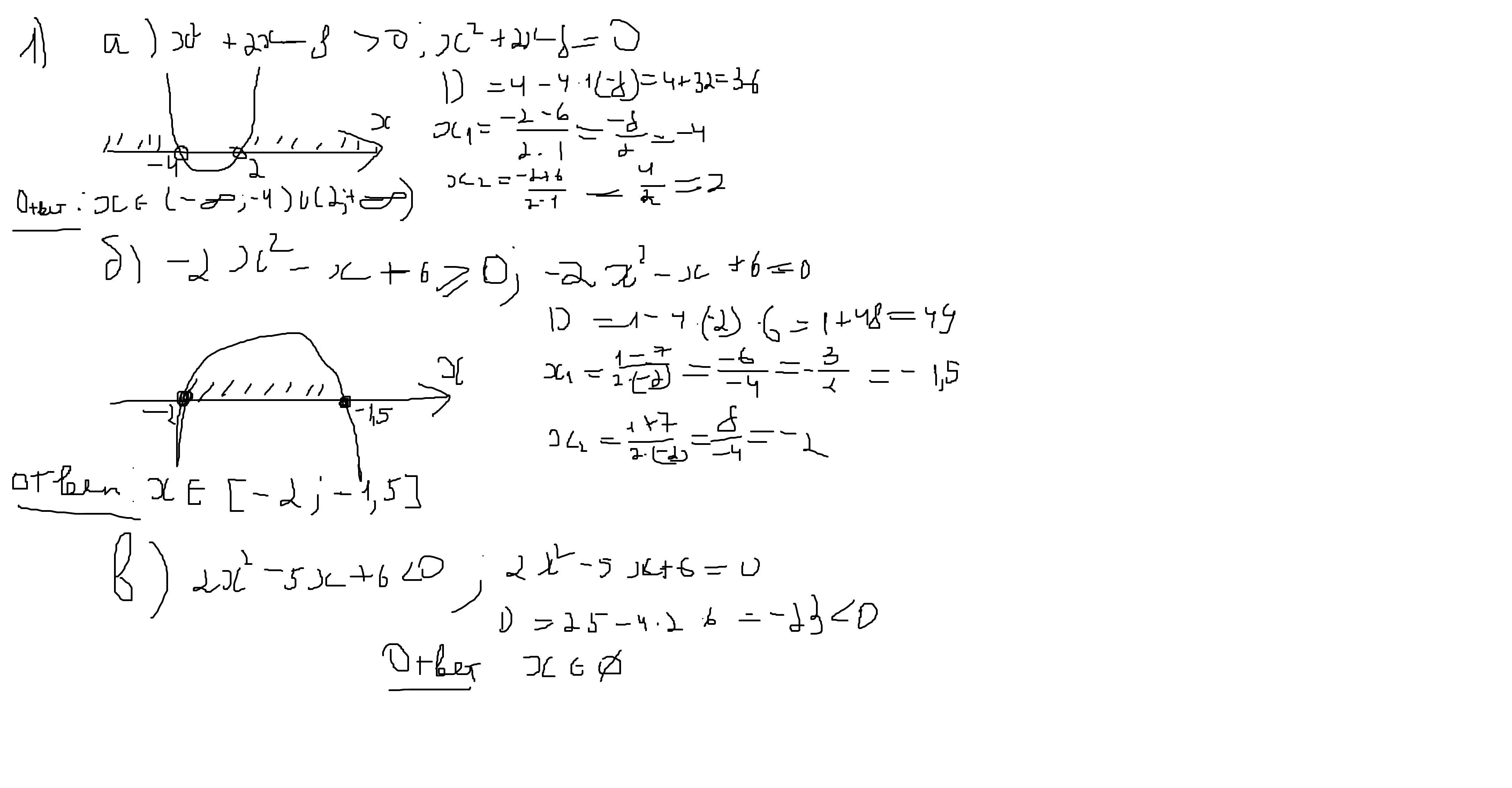
Объяснение:
я все на картинках написал и нарисовал
Приложения:


Вас заинтересует
8 лет назад
8 лет назад