В арифметической прогрессии первый член равен 30, а сумма первых пятнадцати членов равна 135. Найдите двадцатый член этой прогрессии.
Ответы
Ответ дал:
0
Ответ:
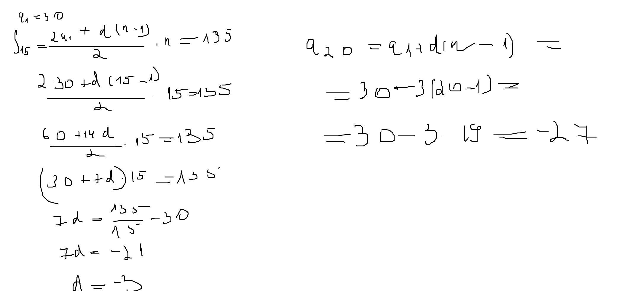
-27
Объяснение:
очень просто за формулами сделал и все
Приложения:
Вас заинтересует
2 года назад
2 года назад
3 года назад
3 года назад
9 лет назад
9 лет назад
10 лет назад