• Предмет: Алгебра
  • Автор: ArnoldUSA
  • Вопрос задан 8 лет назад

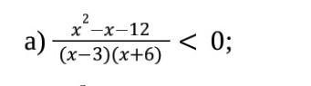
решите неравенство методом интервалов​

Приложения:

Ответы

Ответ дал: NNNLLL54
0

frac{x^2-x-12}{(x-3)(x+6)}<0; ; ,; ; ; ODZ:; xne 3; ,; xne -6\\x^2-x-12=0; ; to ; ; x_1=-3; ,; x_2=4; ; (Viet)\\frac{(x-4)(x+3)}{(x-3)(x+6)}<0\\znaki:; ; +++(-6)---(-3)+++(3)---(4)+++\\xin (-6,-3)cup (3,4)

Ответ дал: Princess1035
0
здравствуйте можете помочь с вопросом
Ответ дал: Princess1035
0
С обьяснением!!!!!!!! ​
https://znanija.com/task/32363022?utm_source=android&utm_medium=share&utm_campaign=question
Вас заинтересует