Ответы
Ответ дал:
0
Объяснение:
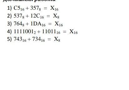
Надо все привести к одной системе исчисления , а потом вычислять
Приложения:

Вас заинтересует
2 года назад
3 года назад
8 лет назад
8 лет назад
9 лет назад