• Предмет: Алгебра
  • Автор: kirill123228lol
  • Вопрос задан 8 лет назад

(X+2)/-4x=8
помогите пожалуйста !!!!

Ответы

Ответ дал: Аноним
0

Ответ:

Объяснение:

вот и все изи

Приложения:
Ответ дал: don2019
0

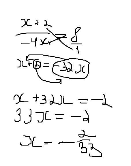
ОДЗ: х не должно = 0

1) Умножить обе части уравнения на -4:

x + 2 =  - 32x

2) Перенести с х в одну, без х в другую:

x + 32x =  - 2

3) Привести подобные члены:

33x =  - 2

4) Разделить обе стороны уравнения на 33:

x =  -  frac{2}{33}

Проверить принадлежит ли уравнение заданному интервалу (оно принадлежит):

Ответ:

x =  -  frac{2}{33}

Приложения:
Вас заинтересует