Ребята помогите решить уравнение умоляю у меня просто завтра контрольная а это надо решить. Умоляю по братски

Ответы
вот ответ на первые три во вложении
сделай лучшим если не трудно



Пошаговое объяснение:
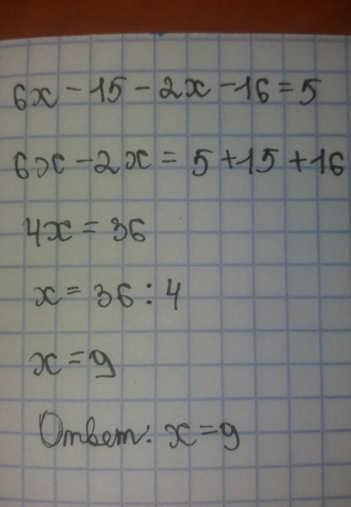
1) 6х-15-2х-16=5
Переносим числа с х в одну часть, а без х в другую, получаем:
6х-2х=5+15+16 ( когда переносим заменяем знак)
4х=36
х=9
2)4х+3=3х+6 ( также переносим с х в левую часть, без х в правую)
4х-3х=6-3
х=3
3)(-4+2х)*6=16+2х раскрываем скобки, умножая число за скобкой на каждое число в скобке)
-4*6+2х*6=16+2х
-24+12х=16+2х (переносим с х в левую часть, без х в правую)
12х-2х=16+24
10х=40
х=4
4) 0.8(7-0.5х)-0.2(28+4х)=0 (раскрываем скобки, умножая число за скобкой на каждое число в скобке)
0.8*7-0.8*0.5х-(0.2*28+0.2*4х)=0
5.6-0.4х-(5.6+0.8х)=0 (раскрываем скобки, т.к. перед скобками знак -, то меняем знаки)
5.6-0.4х-5.6-0.8х=0 (переносим с х в левую часть, без х в правую)
-0.4х-0.8х=-5.6+5.6
-1.2х=0
х=0
5) 6-5(3.6-5y)/7=2
6-(5*3/6-5*5y)/7=2
6-(15-25у)/7=2
приводим к общему знаменателю
(6*7-15-25у)/7=2
(42-15-25у)/7=2
(27-25у)/7=2 умножаем правую и левую часть на 7 что бы избавиться от знаменателя
27-25у=2*7 (в дроби 7 сокращается и остаётся только знаменатель)
-25у=14-27
-25у=-13
у=0.52


