• Предмет: Алгебра
  • Автор: asdasdads2q23123pdsi
  • Вопрос задан 8 лет назад

даю 30 баллов за пример, надо ещё решение не просто ответ а решение.
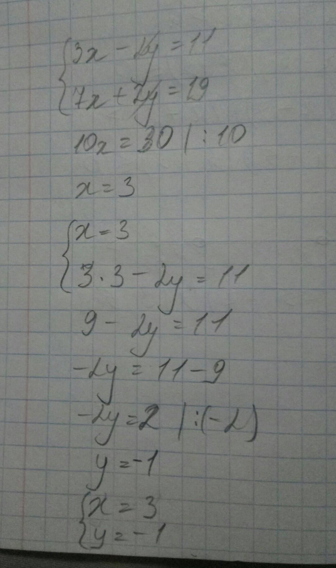
система уравнения left { {{3x-2y=11} atop {7x+2y=19}} right.

Приложения:

Ответы

Ответ дал: lik2003n
0

Ответ:

...................

Приложения:
Вас заинтересует