• Предмет: Алгебра
  • Автор: BazZziliuS
  • Вопрос задан 8 лет назад

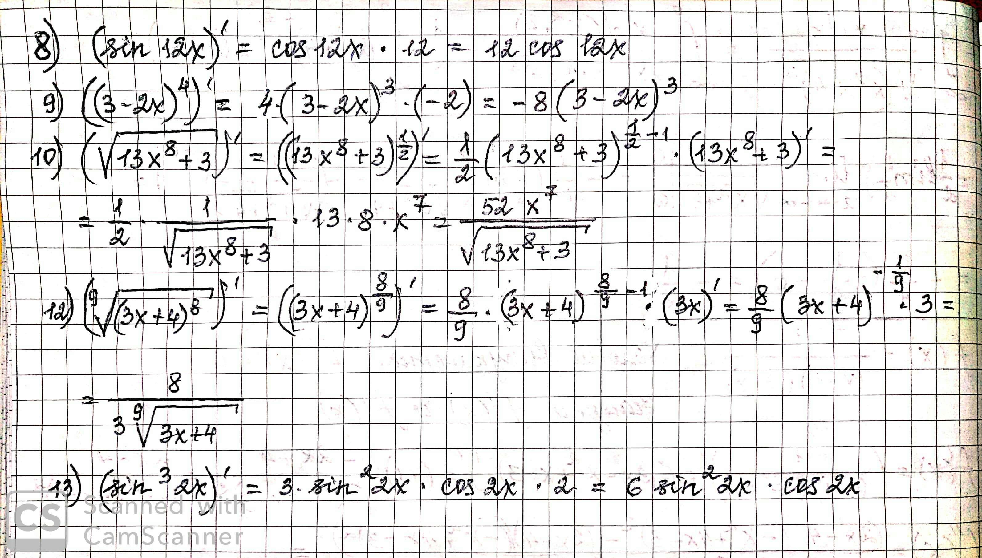
Решите производные сложных функций

Приложения:

Ответы

Ответ дал: serjiof
0

Ответ:

Объяснение: решение в файле

Приложения:
Вас заинтересует