Ответы
Ответ дал:
0
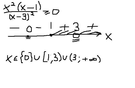
Примерно так
Ответ: {0};[1;3);(3;+inf)
Приложения:

Ответ дал:
0
Ответ:
икс неизвестно сколько будет получается мы должны узнать 1 минус икс вот так
Объяснение:
Приложения:

Вас заинтересует
2 года назад
2 года назад
3 года назад
3 года назад
8 лет назад
9 лет назад
9 лет назад