• Предмет: Физика
  • Автор: Саби12345
  • Вопрос задан 8 лет назад

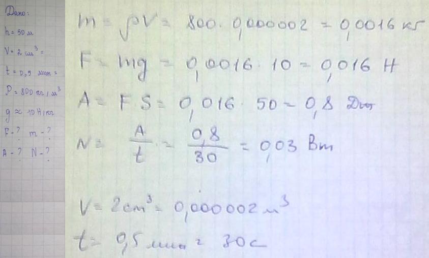
20 баллов! помогите пожалуйста! Укажите формулы, систему Си , и решение

Приложения:

Ответы

Ответ дал: rnv56
0

= решение = решение = решение = решение = решение =

Приложения:
Ответ дал: Саби12345
0
спасибо большое!
Вас заинтересует