• Предмет: Алгебра
  • Автор: dhgfjdjhd
  • Вопрос задан 8 лет назад

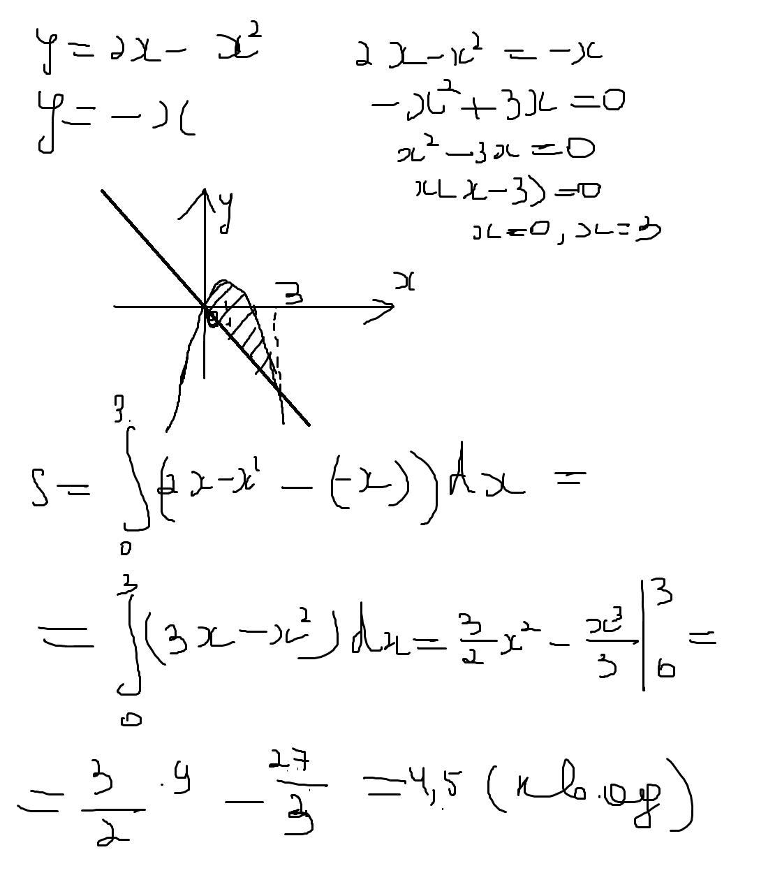
найти площадь фигуры ограниченой линиями y=2x-x^2 и y=-x плиз срочно

Ответы

Ответ дал: Аноним
0

Ответ:

Объяснение:

вот

Приложения:
Ответ дал: dhgfjdjhd
0
спс)))
Вас заинтересует