• Предмет: Алгебра
  • Автор: CurlyWhite
  • Вопрос задан 8 лет назад

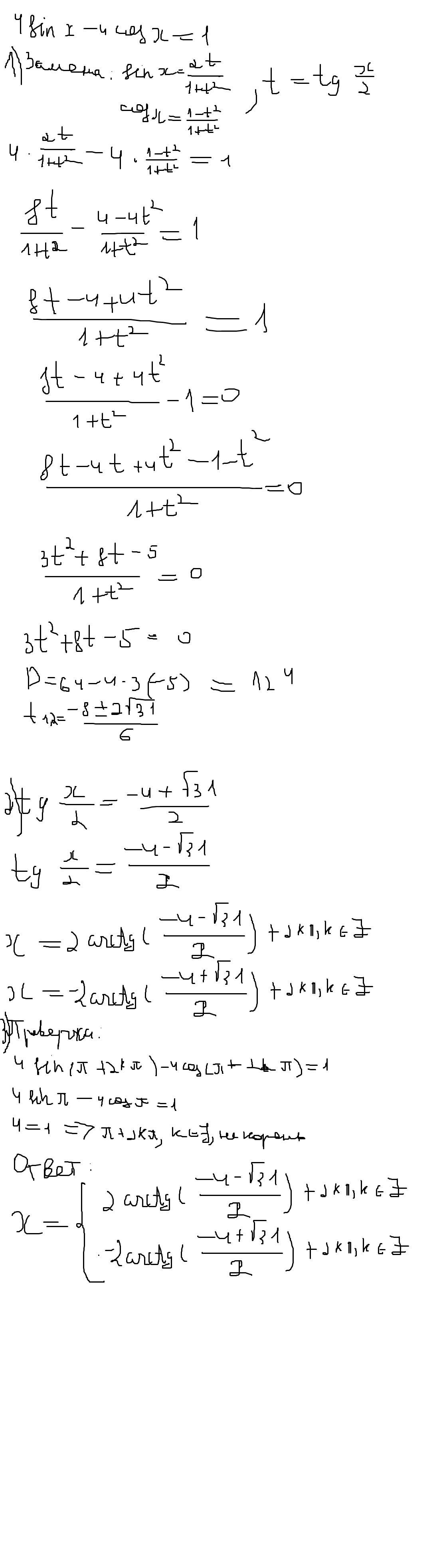
Даю 49 балов, помогите пожалуйста 4sin x-4cos x - 1=0

Ответы

Ответ дал: Аноним
0

Ответ:

Объяснение:

вот

Приложения:
Вас заинтересует