• Предмет: Алгебра
  • Автор: vishnya015
  • Вопрос задан 8 лет назад

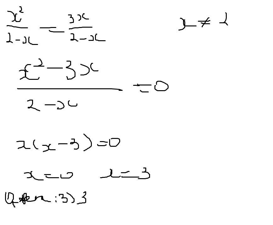
сумма корней уравнения
х^2/2-х = 3х/2-х равна:..

*варианты ответов
1-1
2-0
3-3
4--3​

Ответы

Ответ дал: Аноним
0

Ответ:

Объяснение:

вот

Приложения:
Вас заинтересует