Ответы
Ответ дал:
0
Ответ:
Ответ дал:
0
Благодарю.
Ответ дал:
0
Ответ:
Объяснение
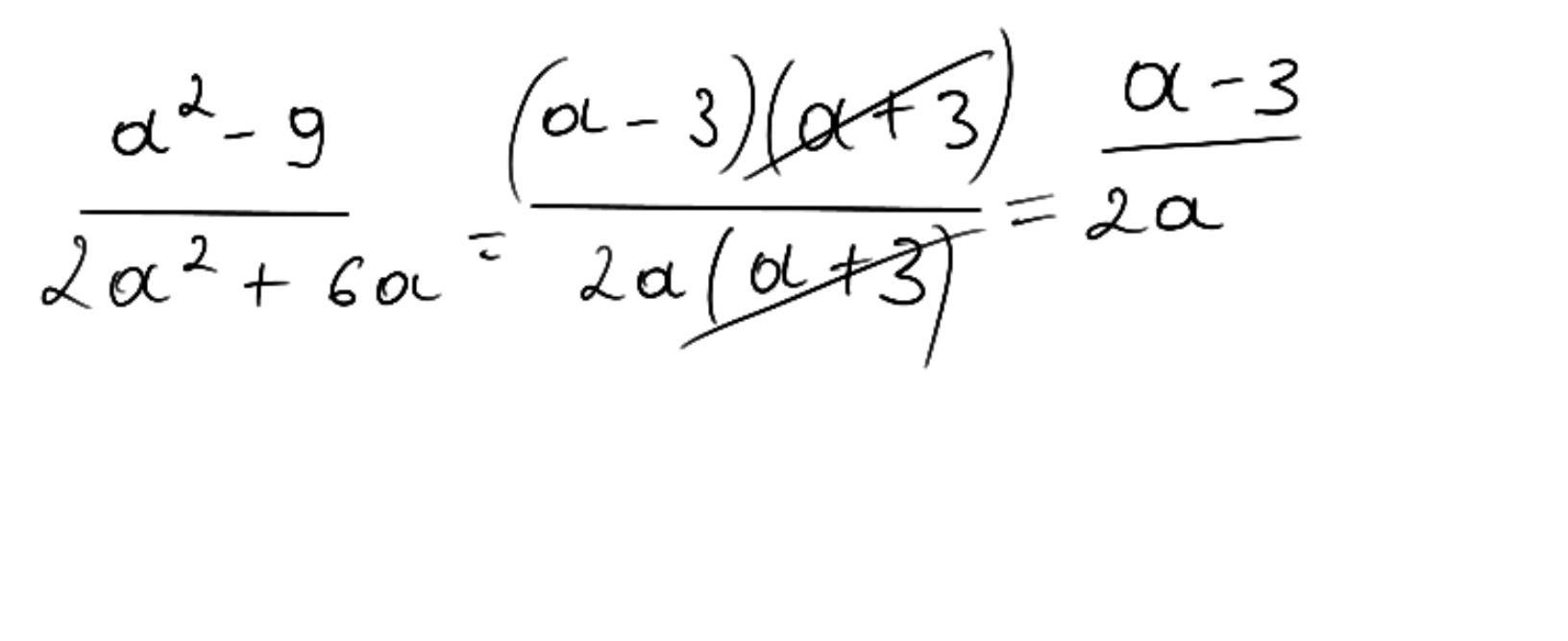
Воовоовлвллвдвдвддыдыдыдддыд вот ответ
Приложения:

Ответ дал:
0
Мерси.
Вас заинтересует
2 года назад
2 года назад
3 года назад
8 лет назад
8 лет назад