• Предмет: Математика
  • Автор: Sergo9NAta
  • Вопрос задан 8 лет назад

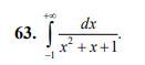
Вычислить несобственный интеграл или доказать его расходимость.

Приложения:

Ответы

Ответ дал: NNNLLL54
0

intlimits^{+infty }_{-1}, frac{dx}{x^2+x+1}=limlimits _{A to +infty}intlimits^{A}_{-1}, frac{dx}{(x+frac{1}{2})^2+frac{3}{4}}, dx=limlimits _{A to +infty}Big (frac{2}{sqrt3}, arctgfrac{x+frac{1}{2}}{frac{sqrt3}{2}}Big )Big |_{-1}^{A}=\\=limlimits _{A to +infty}Big (frac{2}{sqrt3}, arctgfrac{2A+1}{sqrt3}-frac{2}{sqrt3}, arctgfrac{-2+1}{sqrt3}Big )=\\=frac{2}{sqrt3}cdot frac{pi}{2}-frac{2}{sqrt3}cdot frac{-pi }{6}=frac{2}{sqrt3}cdot (frac{pi }{2}+frac{pi}{6})=frac{2}{sqrt3}cdot frac{4pi }{6}=frac{4pi }{3sqrt3}\\sxoditsya

Вас заинтересует