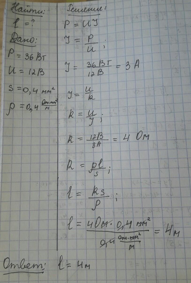
Мощность, потребляемая реостатом равна 36Вт, напряжение на его зажимах равна 12В. Определить длину никелинового провода, прошедшего на изготовление реостата, если площадь его поперечнего сечения равна 0, 4мм^2?
Ответы
Ответ дал:
0
Решение на фотографии .
Приложения:

Вас заинтересует
2 года назад
2 года назад
3 года назад
3 года назад
8 лет назад
8 лет назад