Ответы
Ответ дал:
0
= решение = решение = решение = решение = решение =
Приложения:

Ответ дал:
0
хочу 13+7 б
Ответ дал:
0
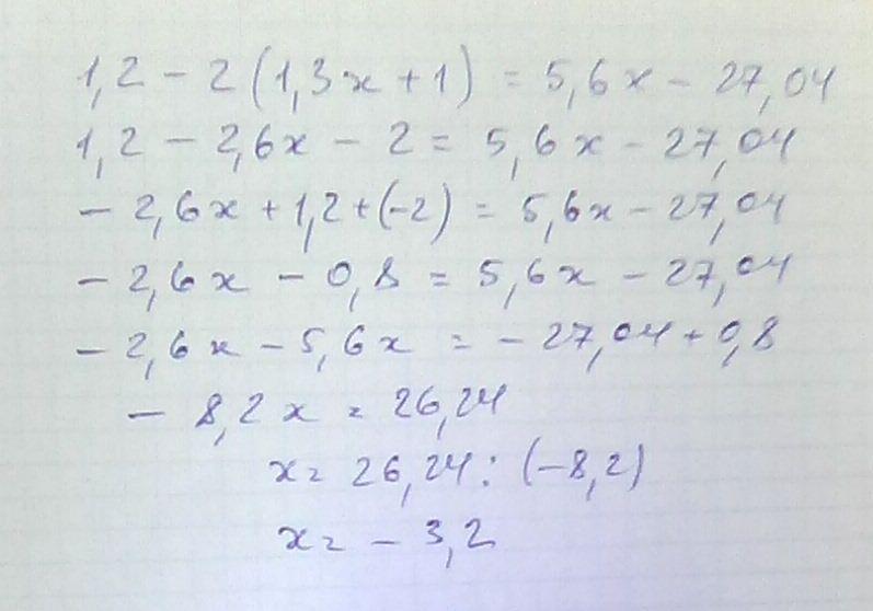
Ответ:
3,2
Пошаговое объяснение:
1,2-2*1,3х-2=5,6х-27,04
-2,6х-0,8=5,6х-27,04
5,6х+2,6х=27,04-0,8
8,2х=26,24
х=3,2
Приложения:

Вас заинтересует
2 года назад
2 года назад
3 года назад
3 года назад
8 лет назад
8 лет назад