Ответы
Ответ дал:
0
Ответ:
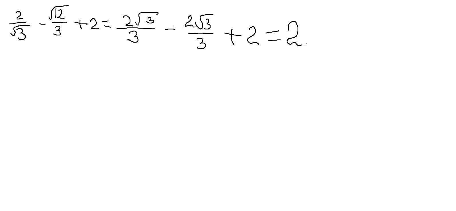
вот решение
Объяснение:
Приложения:

Вас заинтересует
3 года назад
3 года назад
8 лет назад
8 лет назад
9 лет назад
9 лет назад