• Предмет: Математика
  • Автор: gdfd1
  • Вопрос задан 8 лет назад

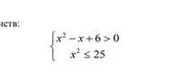
Решите систему неравенств​

Приложения:

Ответы

Ответ дал: Nullpo201
0

{x²-x+6>0

{x²<=25

{x²-x+6>0 {x²-x+6>0

{x²-25<=0 {(x-5)(x+5)<=0

1)x²-x+6 = 0

D = 1 - 24 = -23

x€R

2) + - +

---------------[-5]-------------[5]---------------------

x€[-5;5]

Ответ: [-5;5]

Вас заинтересует