• Предмет: Алгебра
  • Автор: lludmila80
  • Вопрос задан 8 лет назад

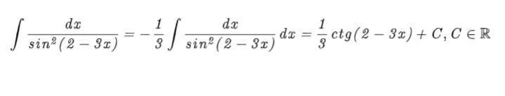
Знайдіть невизначені інтеграли

Приложения:

Ответы

Ответ дал: dimaogol2000
0

Ответ:

Объяснение:

Решение ниже↓↓↓↓↓↓↓↓

Приложения:
Вас заинтересует