• Предмет: Алгебра
  • Автор: aptseshko02
  • Вопрос задан 8 лет назад

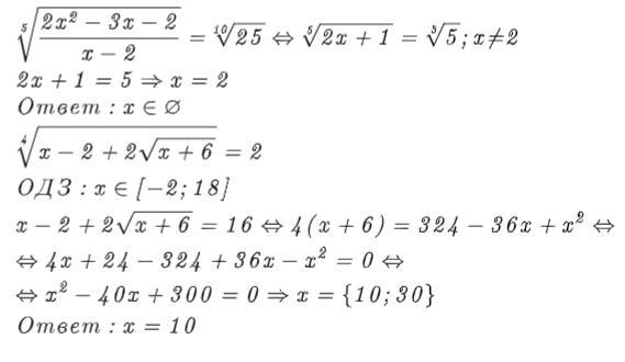
Помогите решить 2 примера ))
(10 класс)

Приложения:

Ответы

Ответ дал: dimaogol2000
0

Ответ:

Объяснение:

Решение внизу↓↓↓↓↓↓↓↓↓

Приложения:
Вас заинтересует