Ответы
Ответ дал:
0
Ответ:
Объяснение:
Решение ниже↓↓↓↓↓↓↓↓↓↓
Приложения:

Ответ дал:
0
Ответ:
Объяснение:
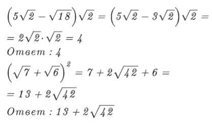
5√2*√2-√18*√2= 5√4-√36= 5*2-6= 10-6= 4
(√7)²+2*√7*√6+(√6)²= 7+2√42+6= 13+2√42
Приложения:

Вас заинтересует
2 года назад
3 года назад
3 года назад
8 лет назад
8 лет назад
9 лет назад