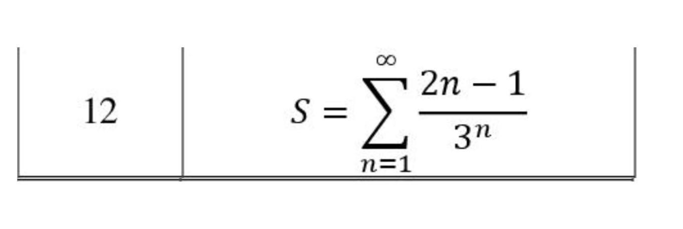
Помогите,пожалуйста, решить на языке программирования C++

Приложения:

Ответы

Ответ дал: moboqe
0

#include <iostream>

#include <cmath>

using namespace std;

const double EPS = 1e-6; // epsilon - точность вычисления суммы

double MySum( double EPS)

{

double s = 0;// Тут копим сумму

double an; // Тут храним N-ый член ряда

int n; // счётчик

n = 1; // начальное значение n

an = 0; // начальное значение an

do {

 an = (2*n-1)/pow(3,n);

 s += an; // суммируем очередной член ряда

 n++; // переходим к следующему члену

} while (fabs(an) > EPS); // Суммировать будем пока член ряда an не станет достаточно маленьким по модулю

return s; // получившаяся сумма

}

int main()

{

setlocale(LC_ALL, "RUS");

cout <<"Сумма ряда с точностью до " << EPS << "= " << MySum(EPS) << endl;

system("pause");

return 0;

}

Вас заинтересует