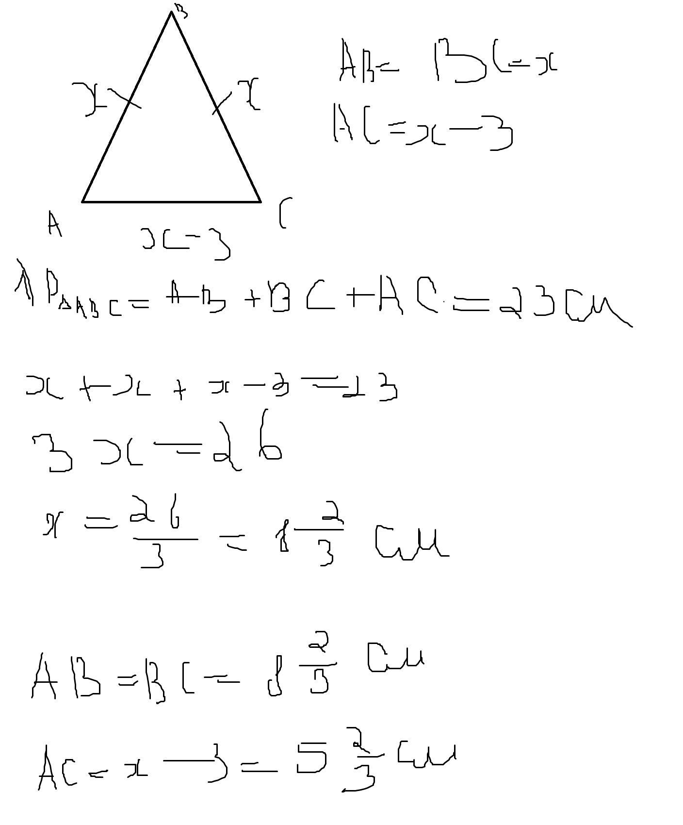
Знайдіть сторони рівнобедреного трикутника якщо його периметр дорівнює 23 см. а основа менша на 3 см від бічної сторони
Ответы
Ответ дал:
0
Ответ:
Объяснение:
ось
Приложения:

Ответ дал:
0
числа трішки погані виходять якби периметр був 27 тоді і числа були цілими
Вас заинтересует
2 года назад
2 года назад
3 года назад
3 года назад
8 лет назад