Решите систему уравнений способом сложения
5m+2n=-2
3m+2n=2
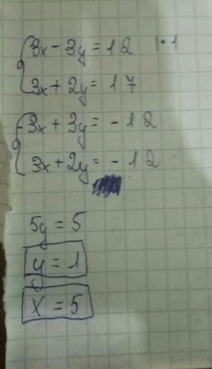
3x-3y=12
3x+2y=17
8x-3y=41
7x+5y=13
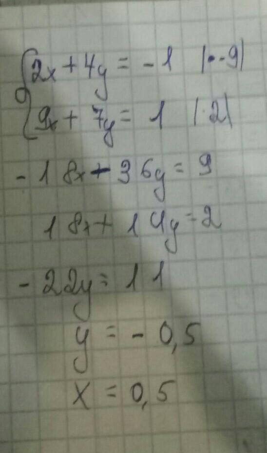
2x+4y=-1
9x+7y=1
Ответы
Ответ дал:
0
вот тут все уравнения первая фотка первое уравнение
Приложения:




Ответ дал:
0
Спасибо!Огромное! И Кстати с 9Мая
Вас заинтересует
2 года назад
2 года назад
3 года назад
8 лет назад
8 лет назад
9 лет назад
9 лет назад