Очень СРОЧНООООО!!!!!!!!!!!! Помогите!
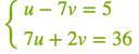
Реши систему уравнений. Ответ подан в виде (v;u)
Даю 15 баллов!!!!!!
Приложения:

Ответы
Ответ дал:
0
Вроде так. сейчас перепроверю
Приложения:

Ответ дал:
0
Спасибо большое! Там правильно. Я проверил и там есть такой ответ!!!
Ответ дал:
0
отлично
Ответ дал:
0
удачи)
Ответ дал:
0
Спасибо)
Вас заинтересует
2 года назад
3 года назад
8 лет назад