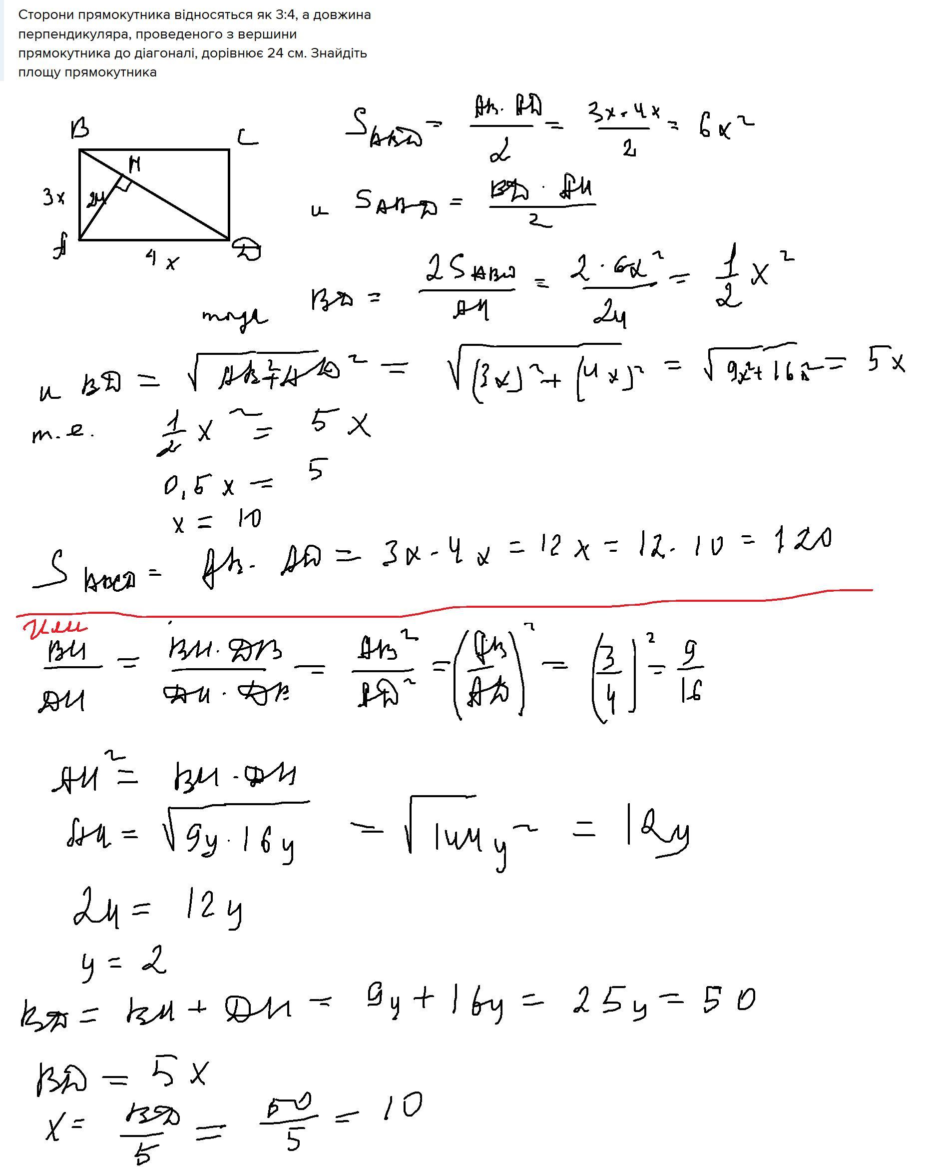
Сторони прямокутника відносяться як 3:4, а довжина перпендикуляра, проведеного з вершини прямокутника до діагоналі, дорівнює 24 см. Знайдіть площу прямокутника
Ответы
Ответ дал:
0
Ответ:
Объяснение:
Сторони прямокутника відносяться як 3:4, а довжина перпендикуляра,
Приложения:

Вас заинтересует
2 года назад
2 года назад
3 года назад
3 года назад
8 лет назад
9 лет назад