Ответы
Ответ дал:
0
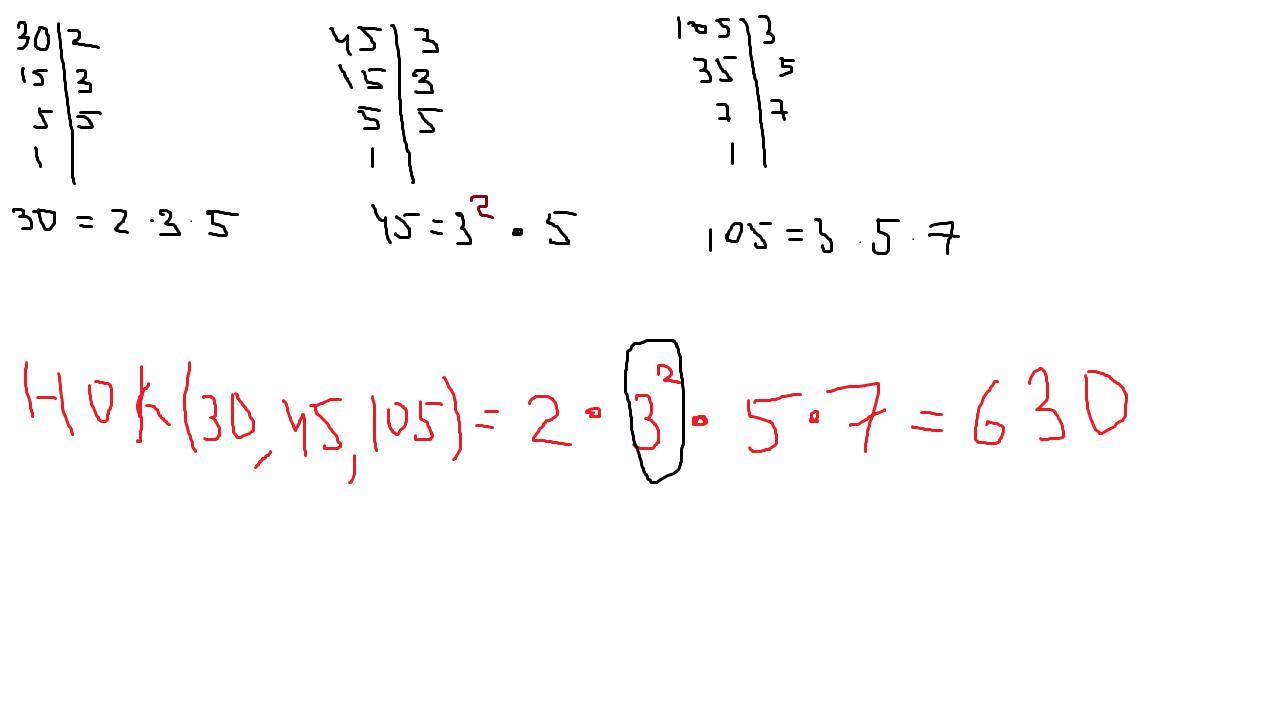
НОК (30; 45; 105) = = 630
Советую почитать теорию, как находить наименьшее общее кратное число.
Приложения:

Вас заинтересует
2 года назад
2 года назад
3 года назад
3 года назад
8 лет назад
9 лет назад