Один пример решите только. Пожалуйста если можно то с вложением картинки)
Алгебра
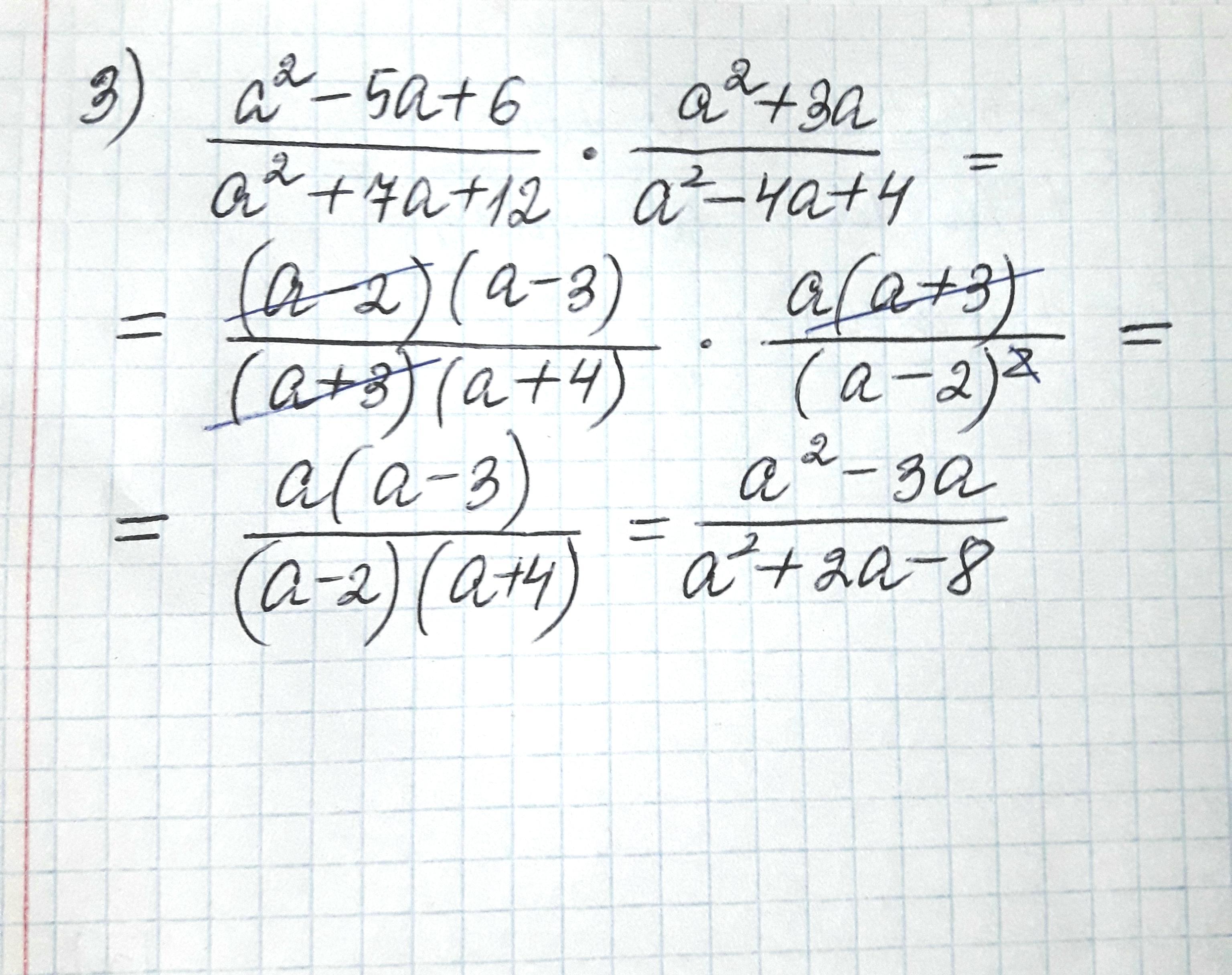
a^2-5a+6
Приложения:

Ответы
Ответ дал:
0
Ответ:
Объяснение:
надо просто упростить?
Приложения:

Ответ дал:
0
Решение приложено
=======================================================
Приложения:

Вас заинтересует
2 года назад
2 года назад
3 года назад
3 года назад
8 лет назад
8 лет назад
9 лет назад