• Предмет: Математика
  • Автор: pryanikalena
  • Вопрос задан 8 лет назад

найти площадь , даю 100 баллов

Приложения:

Ответы

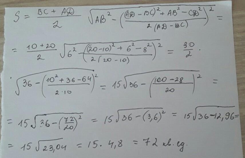
Ответ дал: сок111213
0

Решение на фотографии

Приложения:
Ответ дал: pryanikalena
0
спасибо
Ответ дал: Пеппер
0

Ответ:

72 ед²

Пошаговое объяснение:

Дано: АВСД - трапеция, ВС=10, АД=20, АВ=6, СД=8.

Найти S(АВСД)

Проведем высоты ВК = СН.

S=(ВС+АД):2*СН

КН=ВС=10

АК+ДН=АД-КН=20-10=10

Имеем  треугольник со сторонами 6, 8 и основанием 10. (Его элементы на чертеже выделены красным) Находим его площадь по формуле Герона

S=√(p(p-a)(p-b)(p-c)=√(12*2*6*4)=√576=24 ед²

Находим высоту ВК=СН=24 : 12 * 10 = 4,8.

S(АВСД)=(20+10):2*4,8=72 ед²

Приложения:
Вас заинтересует