• Предмет: Математика
  • Автор: Apelsin4k1
  • Вопрос задан 8 лет назад

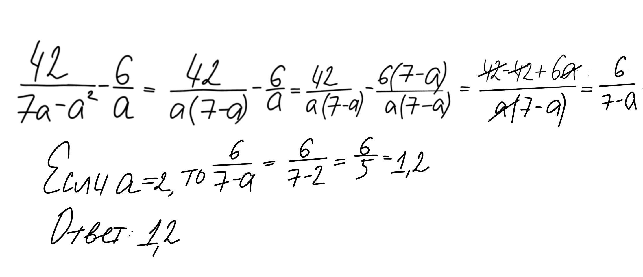
Найдите значение выражения, номер 12.

Приложения:

Ответы

Ответ дал: MilenaZeKot
0

 frac{42}{7a -  {a}^{2} }  -  frac{6}{a}  =  frac{42}{10}  -  frac{6}{2}  = 4 frac{1}{5}  - 3 = 1 frac{1}{5}

Ответ дал: Apelsin4k1
0
Ответ, 1.2, не правильно!
Ответ дал: MilenaZeKot
0
Ну извините!
Ответ дал: MilenaZeKot
0
Это вообще-то одно и тоже.
Ответ дал: 1NaStUsHa1
0

Всё смотри в прикрепленном файле*

Приложения:
Вас заинтересует