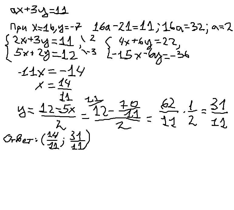
Определи коэффициент a и найди решение системы уравнений графически {ax+3y=11 5x+2y=12
если известно, что первое уравнение этой системы обращается в верное равенство при
x=16 и y=−7.
Срочно пж
                        
                            
                            
                    Ответы
                                            Ответ дал: 
                                                                                    
                                        
                                            
                                                
                                                
                                                
                                                    0
                                                
                                            
                                        
                                    Ответ:
Объяснение:
решение в приложении
Приложения:
                     
                            Вас заинтересует
                
                        2 года назад
                    
                
                        3 года назад
                    
                
                        3 года назад
                    
                
                        8 лет назад
                    
                
                        8 лет назад
                    
                
                        9 лет назад