• Предмет: Алгебра
  • Автор: lutenko03
  • Вопрос задан 8 лет назад

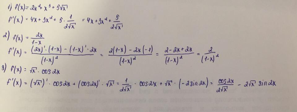
Знайти похідну
1)f=2x²+x³+5√x
2) f=2x/1-x
3) f=√x cos2x

Ответы

Ответ дал: Juliaa21
0

Решение во вложении:

Приложения:
Вас заинтересует