• Предмет: Алгебра
  • Автор: fdshgjsghfkjsdgfkjsd
  • Вопрос задан 8 лет назад

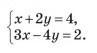
даю 13 баллов решите систему уравнения с решением

Приложения:

Ответы

Ответ дал: sashevich201559
0

Ответ:(2;1)

Объяснение:

x=2-y

3x-4y=2

3(4y-2y)-4y=2

y=1

x=4-2*1

x=2

Вас заинтересует