• Предмет: Математика
  • Автор: viptigame
  • Вопрос задан 8 лет назад

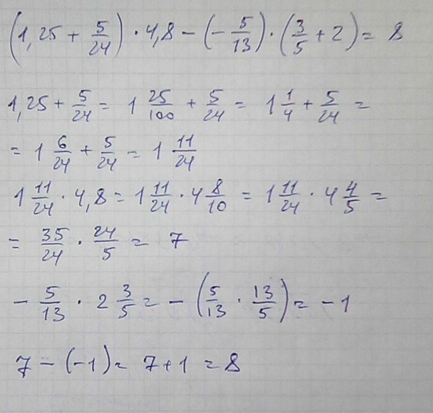
(1.25+5/24)*4.8-(-5/13)*(3/5+2)
(/-черта дроби, *-знак умножения)

Ответы

Ответ дал: admenpop
0

Ответ:5.65 (округляя 5.7)

Пошаговое объяснение: (1.25+ 5/24)*4.8-(-5/13)*(3/5+2)

1)1.25+0.2= 1.45

2)0.6+2=2.6

3)-5/13= -0.4

4)1.45*4.8-0.4*2.6 = 6.69 - 1.04 = 5.65 (округляя 5.7)

Ответ дал: rnv56
0
нельзя округлять
Ответ дал: admenpop
0
Можно
Ответ дал: admenpop
0
Ну хочешь поставь нарушение на этот ответ
Ответ дал: admenpop
0
Мне интересно будет
Ответ дал: admenpop
0
Поставишь лучший ответ?
Ответ дал: rnv56
0

= решение = решение = решение = решение = решение =

Приложения:
Вас заинтересует