Ответы
Ответ дал:
0
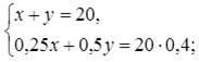
Решение во вложении. Пользовалась методом сложения. Система имеет два решения.
Приложения:

Ответ дал:
0
Нужно сказать сколько решений имеет система уровненей
Ответ дал:
0
срочноо
Ответ дал:
0
пожалуйста
Вас заинтересует
2 года назад
2 года назад
3 года назад
8 лет назад
8 лет назад
9 лет назад