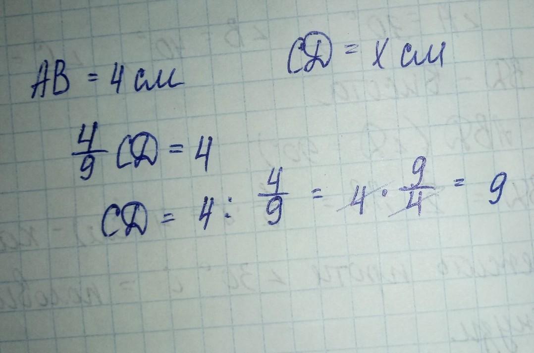
Довжина відрізка АВдорівнює4см,що становитт4/9довжини відрізкаCD.Обчисли довжину відрізка CD.Накресли ці відрізки.......
Ответы
Ответ дал:
0
Відповідь: CD = 9 см
Розв'язок на фото
Приложения:


Вас заинтересует
2 года назад
2 года назад
3 года назад
3 года назад
8 лет назад
8 лет назад
9 лет назад
9 лет назад