6.100 всего лишь один пример решите,любой пожалуйста,но не надо как за 10-11 класс решать,мне нужно за 7
Приложения:

Ответы
Ответ дал:
0
Ответ:
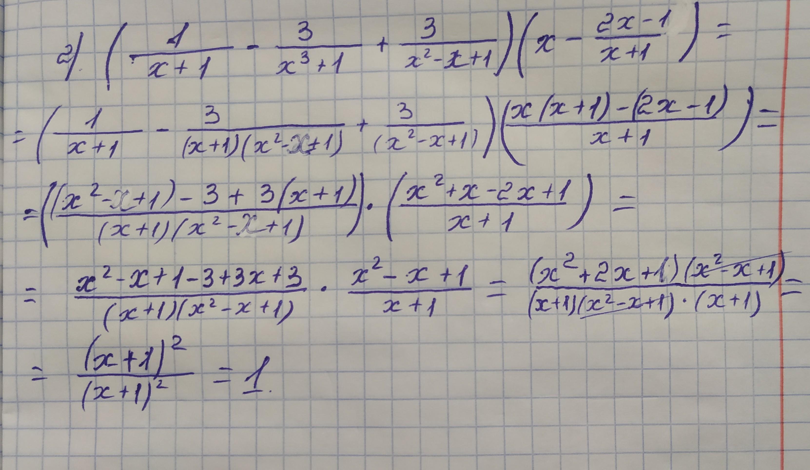
Решение на фото
Объяснение:
Приложения:


Ответ дал:
0
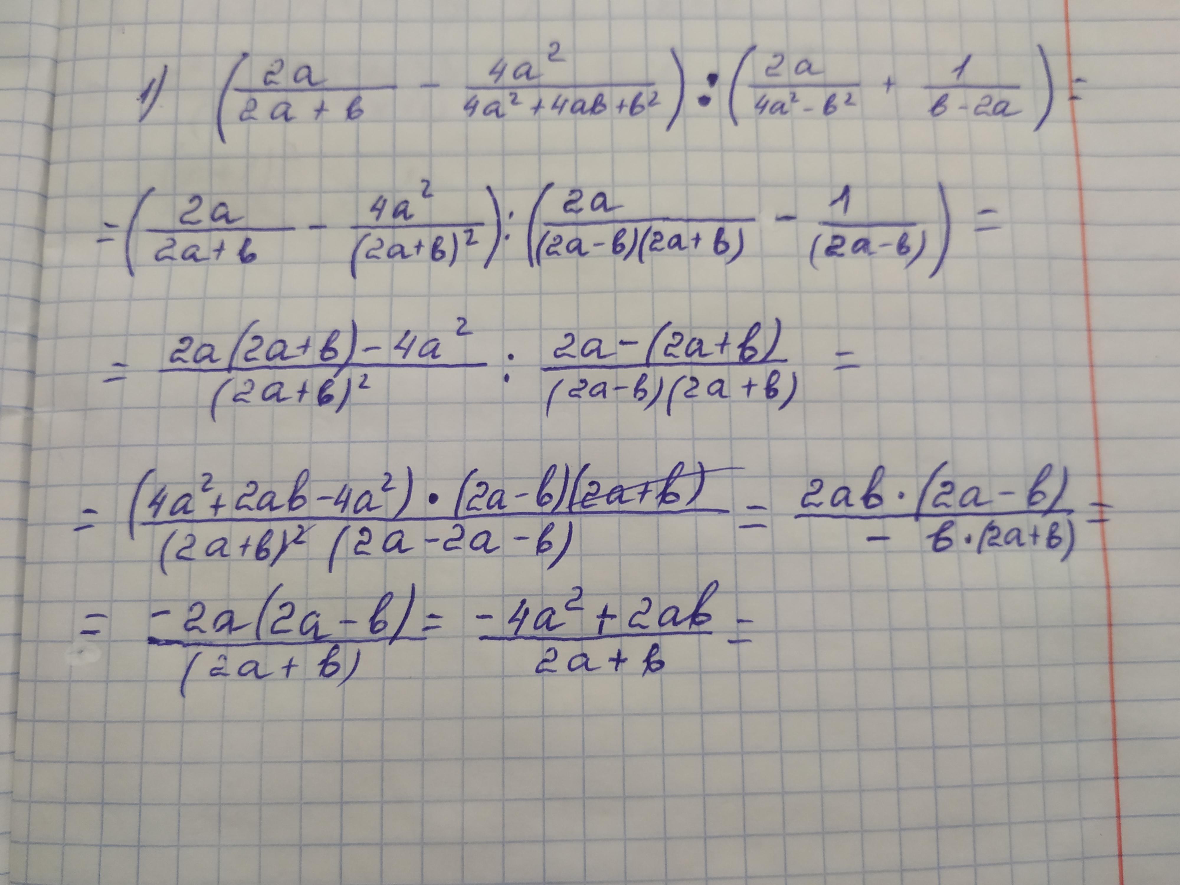
Потеряла скобку в 1). Извиняюсь. Уже исправила. Добавила 2).
Ответ дал:
0
Ответ:
Объяснение:
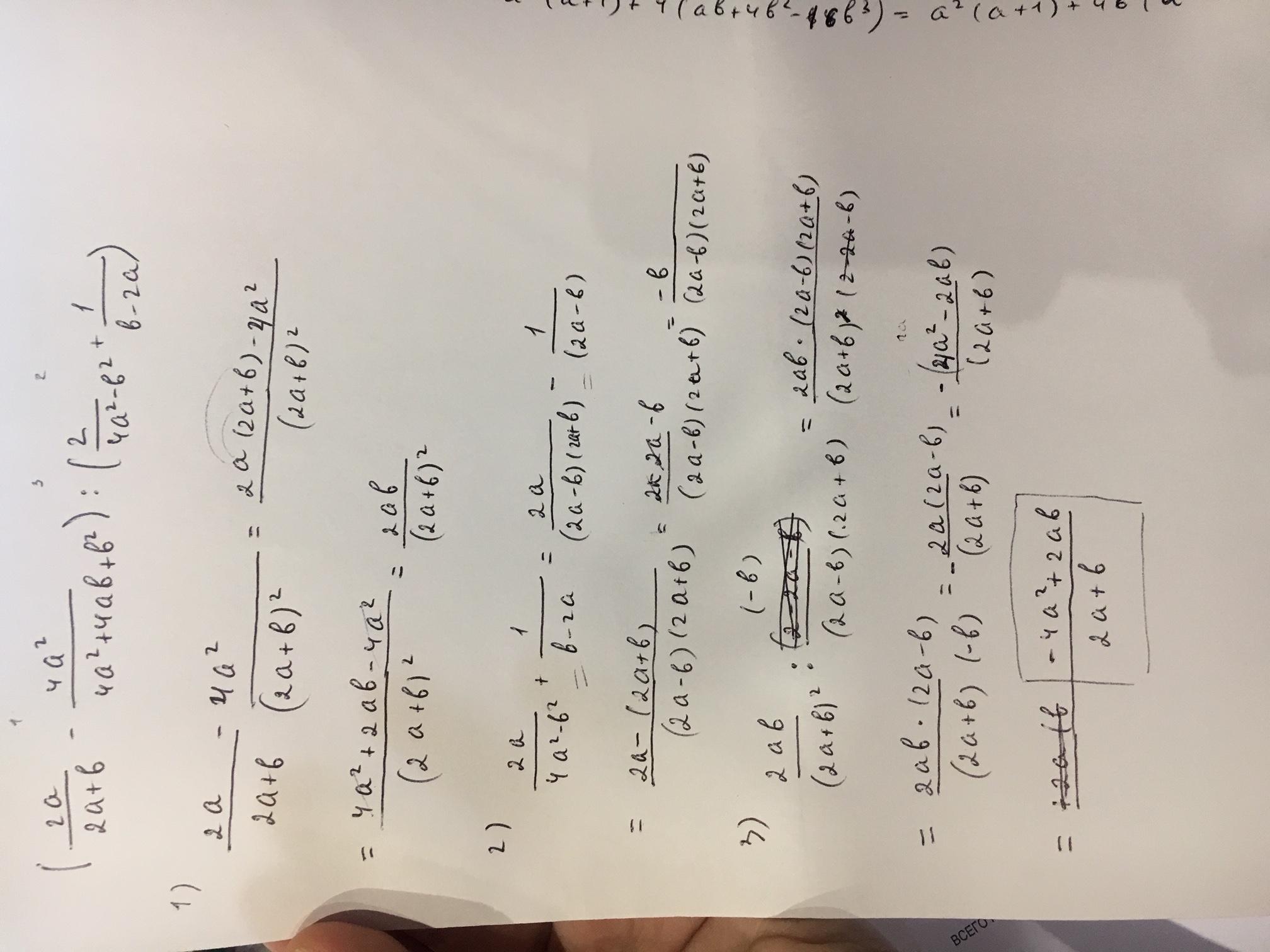
Получается только так, не знаю, идет ли это на 7 класс
Приложения:

Вас заинтересует
2 года назад
2 года назад
3 года назад
3 года назад
8 лет назад
8 лет назад
9 лет назад
9 лет назад