• Предмет: Алгебра
  • Автор: rush99
  • Вопрос задан 8 лет назад

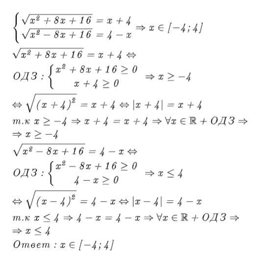
Решите систему уравнени
√(x²+8x+16)=x+4
√(x²-8x+16)=4-x​

Ответы

Ответ дал: dimaogol2000
0

Ответ:

Объяснение:

Решение внизу

Приложения:
Ответ дал: WhatYouNeed
0
Вот бы вы мне так понятно расписали решение.
Вас заинтересует