• Предмет: Математика
  • Автор: begunkov06
  • Вопрос задан 8 лет назад

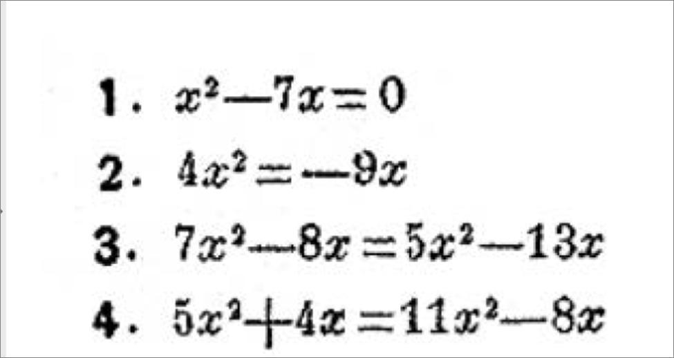
Помогите решить. Нужно полное решение

Приложения:

Ответы

Ответ дал: 99pharaon99
0

Ответ: 1. x1=0;  x2 = 7

2. x1 = 0;  x2= -2.25

3. x1 = 0; x2 = - 10.5

4. x1 = 0; x2 = 2

лови объяснение

Пошаговое объяснение:

1. итак, у нас есть квадратные уравнения, выносим общий множитель - в данном случае - x

x*(x-7) = 0

x1 (корень 1 )= 0 (в уравнениях такого типа он всегда = 0)

x2 = 7 (нужно чтобы в скобках и за скобками получилось ноль, соответственно если мы какое либо число умножим на 0, у нас получится ноль, а чтобы в скобках получился 0 просто решаем методом подбора , 7 -7 = 0)

2. в этом случае сначала перенесём всё в одну сторону, при этом когда переходим в другую сторону меняем знак на противоположный.

получаем 4x^2+9x= 0

и решаем как в до этого

x*(4x + 9) = 0

таким образом x1 = 0

x2= -2.25 т.к 4*-2.25 = -9, а -9+9=0 что нам и нужно

3. 7x^2 - 8x-5x^2-13x =0

7x^2 - 5x^2 - 8x -13x = 0

2x^2 - 21 x = 0

x* (2x - 21) = 0

x1 = 0

x2 = - 10.5    (это по такому же принципу)

4. 5x^2 + 4x - 11x^2 +8x = 0

-6x^2 +12x= 0

-6x*(x - 2) = 0

x1 = 0

x2 = 2

Вас заинтересует
3 года назад