• Предмет: Геометрия
  • Автор: chubyk13
  • Вопрос задан 8 лет назад

ББУУДДЬЬЛЛААСОЧКА ПОМОЖІТЬ.НІЯК НЕ МОЖУ ЗРОБИТИ ПРИ ЗМОЗІ ДОПОМОЖІТЬ..
Умови задачі:
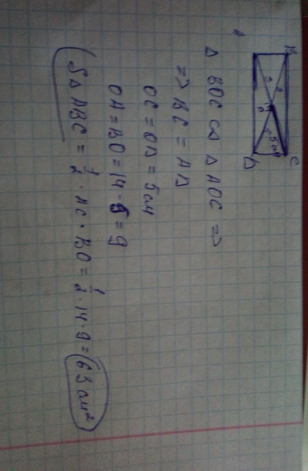
У прямокутнику ABCD AC=14 см.Вершина С віддалена від прямої ВD на 5 см.Знайдіть площу трикутника АВС.

Приложения:

Ответы

Ответ дал: mumnyashka
0

мабуть це так.))))))))

Приложения:
Вас заинтересует