• Предмет: Алгебра
  • Автор: PeachBloom
  • Вопрос задан 8 лет назад

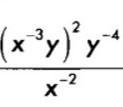
Помогите упростить пожалуйста:)​

Приложения:

Ответы

Ответ дал: Universalka
0

frac{(x^{-3}y)^{2}y^{-4}}{x^{-2} }=frac{x^{-6}y^{2}*y^{-4}}{x^{-2} }=x^{-6-(-2)}*y^{2-4}=x^{-6+2}*y^{-2}=x^{-4}y^{-2}=frac{1}{x^{4} y^{2}}

Вас заинтересует