1.Определить степень окисления
2.Составить структурные формулы
3.Назвать соединения
4.Указать тип соли
5.Указать кислотно-основные свойства соединений.
6.Написать уравнение реакций подтверждающих хим.характер веществ(реакция солеобразования).
K2Cr2O7; Ca(H2AsO4)2; (FeOH)2SO3; Mn(OH)2; BeO; Rb2O; Si02.
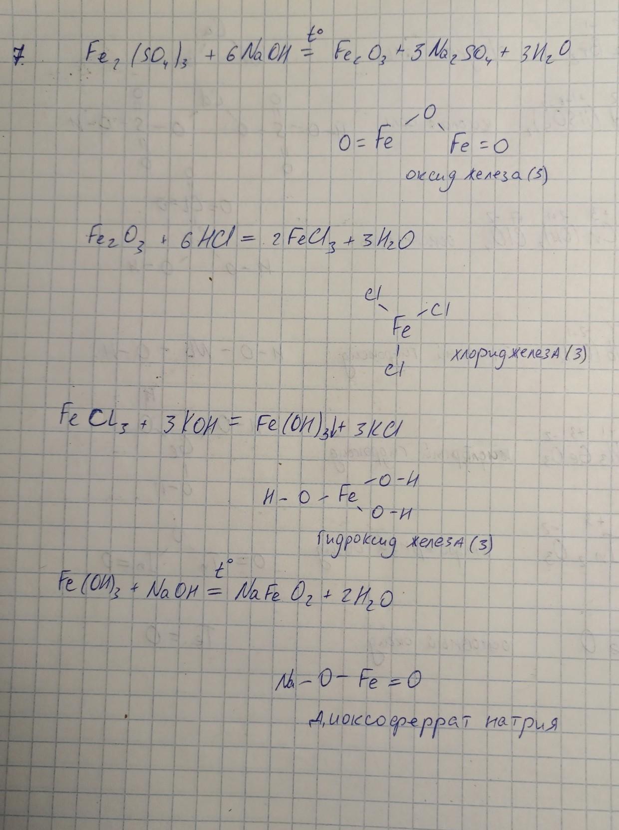
7.Осуществить превращения,назвать полученные соли и написать структурные формулы.
Fe2(SO4)3
Fe2O3->FeCi3->Fe(OH)3<
NaFeO2
Задание 2: Бромид кальция, гидросульфат кадмия, дигидроксоперхлорат хрома(III), гидрооксид ниобия (II), германиевая кислота, оксид индия,оксид теллура (II)
1)Написать формулы соединений
2)Указать тип соли
3)Для оксидов и гидроксидов кислотно-основные свойства
4)Определить степень окисления
5)Составить структурные формулы
Ответы
Ответ дал:
0
Решение на фото
PS: задания не упорядочены, но фото идут по очереди. Надеюсь помог)
Приложения:




Вас заинтересует
2 года назад
2 года назад
3 года назад
3 года назад
8 лет назад
8 лет назад
9 лет назад