• Предмет: Алгебра
  • Автор: janiebaek
  • Вопрос задан 8 лет назад

помогите пожалуйста решить производные
с меня 30 баллов

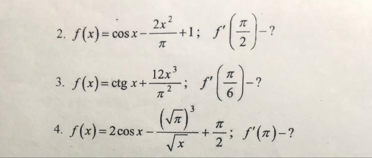
Приложения:

Ответы

Ответ дал: mostvit
0

Ответ:

Объяснение:

2. f'(x) =-sinx-4x/pi

f'(pi/2)=-1-2=-3

3. f'(x) =-1/sin²x +36x²/pi²

f'(pi/6)=-4+1=-3

4. f'(x) =-2sinx+ (√pi)³/(2x√x)

f'(pi)=0+1/2=1/2

Ответ дал: janiebaek
0
в третьей задачи как вышел +1 ?
По конкретнее пожалуйста?
Ответ дал: mostvit
0
36х²/pi²=36(pi/6)²/pi²=36pi²:36pi²=1
Вас заинтересует