• Предмет: Математика
  • Автор: scwerv
  • Вопрос задан 8 лет назад

(Помогите пожалуйста)
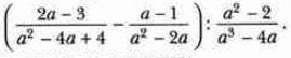
Выполните действия:

Приложения:

Ответы

Ответ дал: bena20193
0

Ответ:

Пошаговое объяснение:

Приложения:
Вас заинтересует